Unsere Geschwindigkeit im Universum.
Die
Frage, mit welcher Geschwindigkeit könnten wir uns alle im Universum bewegen,
ist nicht einfach zu beantworten oder zu berechnen. Es gab unzählige Versuche eine
Antwort darüber zu bekommen. Ich habe aber angenommen, dass wir uns als Licht
mit fast Lichtgeschwindigkeit im Universum bewegen. Fast, da uns nur die
Schwerkraft des ganzen Universums bremsen könnte. Ich habe zwei Wege gefunden,
die mir erlauben würden, unsere Geschwindigkeit abzuschätzen.
Ich
habe für die Berechnungen eine Konvention zu treffen, indem ich auf alle
Variablen in Physik verzichte, die mit einem Strich gezeichnet sind, um eine
Division durch 2π
zu markieren. Z.B. ich werde keine λ benutzen
die durch 2π
geteilt wurde als eine
selbständige Variable, die für die Wellenlänge stehen sollte.
Ich
habe aber neue Erkenntnisse über unsere absolute Geschwindigkeit im Universum,
die ich unter (14.03.2017) am Ende
der Seite vorgestellt hatte.
Der
erste Weg.
Beschäftigt
man sich mit Wasserstoff Atom und Coulombkraft muss
man sich wohl mit einer Konstante ohne Maßeinheit auseinander setzen. Diese
Konstante sollte die elektromagnetischen Kräfte charakterisieren. Sie wurde mit
dem griechischen Buchstaben alfa (α) benannt und wir nennen sie
Feinstrukturkonstante. Sie kommt in vielen Formeln und vielen Korrekturen zur
Formeln vor. Ich würde hier einige vorstellen. Die wichtigste hier für mich,
wäre die folgende:
Formel
Nr. 7
re = λe α (7)
Wo:
re = 2,8179402894 10-15 m
– ein elektromagnetischer Radius eines Elektrons ist.
Es
ist eine künstliche Konstante, die besagt nur, dass ein Elektron fast diesen
Radius haben müsste, wenn seine ganze Energie elektromagnetisch wäre. Diese
Kostante spielt aber sehr große Rolle in allen Berechnungen von „Licht“
Streuung auf Elementarteilchen oder auf Photonen. Oft spricht man hier über
einen sogenannten Wirkungsquerschnitt, wenn man diesen
Wert zu Potenz zwei macht – (re)2
λe = 2,4263102175 10-12 m - ist eine Wellenlänge, die einer
elektromagnetischen Welle entspricht, die in unserem Labor die Energie des
Elektrons besitzt. Sie ist aus der folgenden Gleichung zu bestimmen:
mec2
= h c λe-1
Die
Formel Nr. 7 ähnelt einer des Lorentz Physikers, die besagt, dass sich die
Länge eines Körpers in Bewegungsrichtung umso stärker verkürzt um so schneller
sich der Körper bewegt. Sie sieht folgend aus:
L
= L0 (1- u2 c-2 )1/2
Hier
könnte L dem Wert von re aus
der Formel Nr. 7 entsprechen,
dann würde L0 dem Wert von λe gleich.
Wir
hätten folgende Gleichung, aus der man die u Geschwindigkeit mit der wir uns im
Universum bewegen doch berechnen könnte.
re = λe (1- u2 c-2 )1/2
Ich
habe diese Gleichung auf u aufgelöst und bekam eine Geschwindigkeit die nur um
ca. 404 m/s kleiner ist als die c Licht Geschwindigkeit im leeren Raum. Damit
hat die Alfa Konstante eine neue Bedeutung bekommen. Sie ist einfach auf unsere
Geschwindigkeit im Universum zurück zu führen und kann somit folgend
dargestellt werden:
Formel Nr. 8.
re / λe = α = (1-
u2 c-2 )1/2 (8)
Waren,
sind und werden die Elektromagnetischen Kräfte in ganzem Universum gleich,
müssen sich also alle Objekte im Universum mit dieser u Geschwindigkeit
bewegen. Die Schwerkraft müsste sich im Universum stetig verringert, da das Universum
immer schneller expandiert, wie die Beobachtungen zeigen. Wächst aber die u
Geschwindigkeit stetig, dann müsste sich die α Konstante stetig verringern.
Andererseits
ist α mit anderen Konstanten mit folgender
Gleichung verbunden:
Formel
Nr. 9.
re / λe = α = ke2 / (h c) (9)
wo:
h
= 6,62606896(33)10-34 J
s – Planck Konstante ist.
c
= 2,99792458 108
m – Lichtgeschwindigkeit in Vakuum ist.
k
= 1 / 4πε0
- Coulomb Konstante ist
e
= 1,602176487 10-19
C – elementare Ladung bedeutet.
Ich
muss also mit stetiger Verringerung der Elektromagnetischen Kräfte im Universum
seit Anfang an rechnen (sehen Sie die Formel Nr. 9), wenn die Multiplikation hc die ganze Zeit gleich sein sollte. Die Masse muss von
Elementarteilchen wohl mit wachsenden u auch wachsen.
In
langen Zeitperioden sollte man für das ganze Universum die Atommodelle
überdenken und anpassen versuchen.
Ich
kann versuchen, die Masse von z.B. einem Proton oder Neutron im Anfangsstadium
des Universums zurück zu berechnen, wenn sich die Objekte (Elementarteilchen)
im Universum noch im Vergleich zu Lichtgeschwindigkeit im Vakuum sehr langsam
bewegten. Ich muss nur eine Frage formulieren, um diese Berechnung durchführen
zu können. Die Frage lautet.
Was
für ein Wert hätte eine Ruhemasse eines Elementarteilchens, was sich heute mit
einer Geschwindigkeit bewegt, was nur 404
m/s weniger als Lichtgeschwindigkeit im Vakuum beträgt. Für diese
Berechnung setzte ich hier „meine Feinstrukturkonstante“ α.
m = m0 α-1 und daraus ergibt
sich m0 = m α
Ich
habe hier die Massen des Protons oder Neutrons in Elektronen Masse umgerechnet.
wenn:
mp = 1836,15267245 me
und
α-1 = 861,445
dann
m
p0 = 2,131 me
Für
ein Neutron.
mn = 1838,6836605 me
Dann
mn0 = 2,134 me
Ich könnte mir vorstellen, dass ein Neutron oder Proton aus zwei
Photonen bestand und besteht, die die Energie von zwei Elektronen hatten. War
das ein Paar, die aus Positron und Elektron (Negaton) bestand?
Wenn ja, dann, was wäre also damals ein Elektron?
Wenn:
me
c2 = 0,510 998 928
106 eV
dann:.
me0
= 593,1881 eV
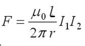
Der zweite Weg.
Bewegen
sich geladene Elementarteilchen mit der c Geschwindigkeit in der gleichen Richtung,
dann müssen sie wohl, genau wie zwei Leiter mit Strom auf einander mit einer
magnetischen Kraft wirken. Ich habe für die Berechnung nur zwei Elektronen
berücksichtigt.
Dafür
reicht die bekannte uns folgende Formel für die Kraft zwischen zwei langen,
parallelen Leitern, auszurechen (Ampèresches Gesetz).

I1
und I2 sind gleich dem I.
I
= e/t , wo t = L/c ist.
Die
Ladung eines Elektrons ist gleich e.
Ich
setzte L als eine Längeneinheit also 1m in [MKS].
Dann
t
= 1m/c
und
I
= ec /1m oder
genau I = ec / L
F
= (2π
r)-1 μ0 (1m) e2 c2 / 1m2
oder genau F = (2π
r)-1 μ0 L e2 c2 / L2
Aber
c2
= 1 / (ε0 μ0)
Ich
setzte auch die r auf 1m, dann ist die Kraft gleich:
F
= e2 / ((2π ε0 ) 1m2 ) oder genau F = e2 L / ((2π ε0 r) L2 )
Also
Formel
Nr. 10
F
=2 k e2 / 1m2
genauer aber F = 2 k e2 L/r 1/L2 = 2 k e2 /
(r L) (10)
Wo:
k
= 1 / (4π ε0 )
r
– die Entfernung von den
beiden Elektronen also von den beiden Stromleitungen.
L – die in Betracht kommende Länge der
Stromleitung, für die wir die Kraft berechen.
Die
magnetischen Kräfte zwischen Elementarteilchen, die sich mit
Lichtgeschwindigkeit bewegen sind den elektrostatischen Kräften bis auf den
Faktor 2 gleich und entsprechen der folgenden bekannten Formel für Coulombkraft:
F
= k e2 / r2
Würde
ich die Richtung der Kraft berücksichtigen, wenn sich alle die allen geladenen
Teilchen in die gleiche Richtung bewegen, dann müssen sich Elektronen anziehen
genau so wie Plus geladene Jonen oder einfach Protonen, aber Elektronen müssen
sich mit Protonen oder Plus geladenen Jonen abstoßen. Diese Kräfte der
geladenen Teilchen, die sich mit fast c in gleiche Richtung bewegen, wirken
entgegen den Coulombkräften.
Ist
also die Coulombkraft, eine sich nur der Bewegung mit
c wegen manifestierende Kraft?
Es
schient, wir bewegen uns doch mit fast Licht Geschwindigkeit.
Ich
könnte aus dem ersten Weg die u Geschwindigkeit berechnen, um sie hier anstatt
der c Geschwindigkeit einzusetzen.
Das
überlasse ich aber Ihnen.
Ich
hatte diese Berechnungen selbst noch nicht gemacht.
Diese
folgende Formel (Formel Nr. 10a) ist aber sehr Interessant:
F
= 2 k e2 / (r L) (10a)
Die
Formel liefert ganz andere Ergebnisse im Vergleich zu der folgenden
Ausgangsformel:

Wächst
die L in beiden Formeln, dann nach der Formel Nr. 10 verringert sich die Kraft
zwischen den beiden Stromleitungen mit je ein Elektron aber sie wächst nach der
zweiten Formeln.
Ich
habe bei den sehr großen Geschwindigkeiten für die Formel Nr.10 keine
relativistische Effekte berücksichtig.
Ist
das der Grund, dass die beiden Formeln ganz andere Ergebnisse liefern, wenn
sich die Ladungen mit relativistischen Geschwindigkeiten bewegen oder ist die
Formel des „Ampèresches Gesetzes“ nur für kleine
Geschwindigkeiten von Ladungen in Stromleitungen richtig?
(14.03.2017)
Ich hatte folgende Formel für die α Konstante (Feinstrukturkonstante, fine-structure constant) gefunden.
Bitte beachten Sie,
dass ich hier für die Berechnung von α die plancksche Konstante dividiert
mit 2 Pi genommen hatte,
zum Vergleich zu den früheren
Berechnungen am Anfang der Seite.
In Tabellen hat sie den folgenden Wert:
α = 7,2973525376(50)E(-3) mit relativer Unsicherheit 6,8E(-10)
oder
α^(-1) = 137,035999679(94)
Um sie zu berechnen
kann man auch folgende Werte benutzen und keine anderen.
Die erste kosmische
Geschwindigkeit v_k
für Erde unmittelbar an Erdoberfläche.
v_k = 7912 m/s
und
Lichtgeschwindigkeit im Vakuum und an der Erdoberfläche!
c = 299792458 m/s
Es geht um die folgende Formel:
(1 – ((c - v_k) / c)^2)^(1/2)
(c –v_k) / c = 0,9999736084
((c - v_k) / c)^2 = 0,9999472175
1 – ((c - v_k) / c)^2 = 5,278248591E(-5)
Dann aber:
(1 – ((c - v_k) / c)^2)^(1/2) = 7,265155601E(-3) (11)
und
(1 – ((c - v_k) / c)^2)(-1/2) = 137,6433011
Das kann kein Zufall sein, dass die beiden Zahlen so Nah einander liegen!
Aber jeder Körper in Sonnensystem hat ja andere erste kosmische Geschwindigkeit v_k, was bedeuteten müsste,
dass Alfa keine Konstante im Universum ist.
Sie wurde mit folgender Formel ausgerechnet:
α = e 2 / (2 εο h c) (12)
Wo:
εο - die elektrische Konstante ist.
εο = 8,854187817E(-12) F/m
h - planksche Konstante
h =
6,62606896(33)E(-34) J s
e – Elementare Ladung
e = 1,602176487(40)E(-19) C
Eine von den hier in
der oberen Formel (2) vorkommenden Konstanten,
muss wohl keine mehr
sein oder sogar alle sind keine Konstanten im Universum.
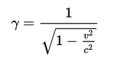
Ich würde hier noch die Lorenztransformation der c Geschwindigkeit hier unten analisieren.
In den Lorenzgleichungen (Transformation) kommt eine u (u auf meiner Seite) Geschwindigkeit mit der sich ein System relativ zu unserem bewegen würde.
Diese u hat in der Formel (11) den Wert
u = c – v_k
Ich hatte hier bewissen, dass Lorenzfaktor für unsere Erde der Feinstrukturkonstante für unseren Planten gleich ist.
https://de.wikipedia.org/wiki/Lorentzfaktor
Es könnte sein, dass
diese Lorenztransformation, die von Einstein in seine Gleichungen aufgenommen
wurde
zwar unsere Messwerte
richtig interpretieren lässt,
aber sie könnte auch
gut die Realität der Gesetzte im Universum verschleiern,
wie Herr Grosch auf seiner Webseite auch behauptet.
http://www.grosch.homepage.t-online.de/
RT oder ART wäre also nur eine Interpretation von gemessenen Wertern für etwas,
aber sie ist keine richtige Beschreibung von Realität, da auch c die Lichtgeschwindigkeit im Vakuum nicht konstant werden müsste.
Die absolute Geschwindigkeit, mit der wir im Universum reisen, hatte ich auf diese Weise gefunden.
Sie unterscheidet sich von c nur um die erste kosmische Geschwindigkeit für unseren Planeten.
Wir bewegen uns im Universum also fast mit c.
Über die u = c – v_k muss noch diskutiert werden.
15.06.2017
Die Alfa „Konstante“ α kommt in vielen Formeln vor.
Sie ist aber vom dem
Gammafaktor α = 1 / γ von
Lorenz-Transformation auf eine einfache Weise abhängig, wie man sieht,
wenn man für v die
folgende Geschwindigkeit
v = c – v_k und v_k = 7912 m/s die 1. kosmische
Geschwindigkeit nimmt.
https://de.wikipedia.org/wiki/Lorentz-Transformation

γ = 137, 6433011
und
α
= 1/ γ
Es ist also α
= 1/γ und ich kann
einige Formeln auch folgend schreiben:
re = λe α/2π
= λe/2π γ (13)
oder:
λe.= 2π re γ.=
2π
re
1/sqrt(1 – ((c - v_k) /
c)^2) (13a)
wo:
λe – die Compton
Wellenlänge vom Elektron ist.
λe
= h / me
c
![]()
Die Formel (13a) ist eine Lorenz-Transformation von Länge
für auch vermutlich Wellen, sonst feste Körper,
die sich mit einer Geschwindigkeit von v = c – v_k bewegen und dort die Länge re
haben, auf die Laborbedingungen in unserem System, wo v = 0 ist.
Würde sich also ein Elektron mit der Geschwindigkeit c – v_k bewegen, müsste seine Compton
Wellenlänge re betragen.
Seine Energie müsste auch 137 größer sein also auch seine
berechnete Masse müsste 137 me betragen.
Es ist noch eine Formel zu betrachten:

Der Radius von Wasserstoffatom, wenn Elektron auf der ersten
Umlaufbahn verbleibt, ist:
aο = εο h2 / π e2 me
und nach einigen Umstellungen, um Alfa zu bekommen:
aο = λe /2π
α
re = λe α/2π = aο α2 = a0/
γ2 (14)
also:
λe = 2π a0/γ (15)
Würde sich Wasserstoffatom mit der v = c – v_k bewegen, würde sich, aus unserer Sicht,
die Länge von ersten Elektronumlaufbahn auf die Compton Wellenlänge vom Elektron λe reduzieren.
Ich gehe davon aus, dass die Lorenz Verkürzung alle
Richtungen betrifft und nicht nur die Richtung in der sich ein Körper mit v
bewegt.
Eine kritische Arbeit darüber ist hier zu finden:
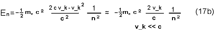
Noch ein Beispiel.
Die Energie von Elektron im Wasserstoffatom kann man mit
folgender Formel (Bohr) berechnen:
En = - me e4
/ 8εο h2
n2 (16)
Und n = 1,2,3 .. ist die Zahl, die mit Elektronumlaufbahn
verbunden ist.
me – Masse eines Elektrons
Die Formel (16) lässt sich folgend umschreiben:
En = - ½ k2 e4 / (h2 c2
/ 4π2) * mec2/ n2 (16a)
Oder vereinfacht:
En = - ½ α2 mec2/ n2= - ½ 1/γ2 me c2 / n2 (16b)

wo:
n=1,2,3 ….
Ist n = 1, dann bekomme ich die innere Energie vom
Elektron, die - mec2 beträgt,
wenn er sich auf der
Oberfläche von schwarzen Loch befinden sollte, denn, dann nur dann v_k = c sein muss
(sehen Sie bitte 17b).


Wenn:
v = c – v_k
und v_k = c, dann v = 0
und:
E1 = - ½ me c2
Wird die innere Energie vom Elektron me c2durch die negative aber gleiche Energie - me c2 neutralisiert?
Wird Elektron im Wasserstoffatom zu einer elektromagnetischen Welle übergehen, oder ganz verschwinden?