
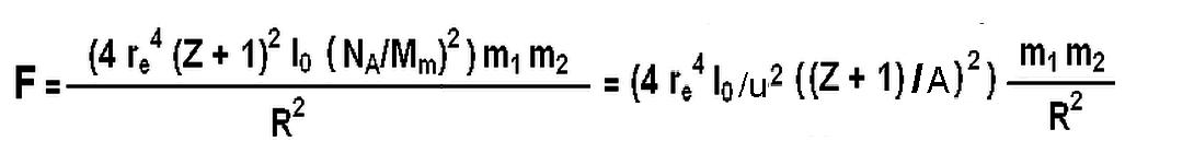
Formel Nr. 3
F - Schwerkraft in [ N ] (Newton)
R - Entfernung zwischen den Körpern
re - elektromagnetischer Radius vom Elektron in [m]
Mm - Molare Masse des Elements in [kg]
NA Avogadro-Konstante - Anzahl von Atomen in einem Mol eines Elements
Z - Anzahl von Elektronen in einem Atom von einem Element also die Ordnungszahl eines Elementes (für den wir die Schwerkraft
berechnen), in der Formel (Z + 1) mit der Berücksichtigung (+ 1) des Atomkernes
Io - Dichte von elektromagnetischer Strahlung in [ J / m3 ]
(Wenn die Berechnungen die Schwerkraft zwischen zwei Körpern
auf der Erde betreffen, dann "Io" ist die Größe in Erdnähe - berechnet aus Solarkonstante geteilt durch c (c = Lichtgeschwindigkeit im leeren Raum))
u - Atomare Masseneinheit
A - Atommasse eines Elements (ohne Dimension)
m1 - Masse des ersten Körpers
m2 - Masse des zweiten Körpers
Diese Formel kann man schon ehe mit der Gravitation Formel von Newton vergleichen, was ich unter Berechnungen rein rechnerisch getan habe.
In der Newtonschen Formel steht vor dem Multiplikand von Massen eine Konstante, die Gravitationskonstante (G),
die für alle Elemente im Universum gleich ist. In meiner Formel ist das keine Konstante mehr.
Betrachtet man die Multiplikatoren vor der Massen genauer, die die Schwerkraft Konstante bilden sollten (in Klammern),
dann sieht man, dass sie sich für jedes Element unterscheiden. Die Variablen Z und Mm oder,
wenn man die rechte Seite der Gleichung betrachtet, die Z und A, haben für unterschiedliche Elemente
auch unterschiedliche Werte.
Die Variable I0 ist auch nicht konstant,
da sie in unserem Sonnensystem (als Beispiel) von der Entfernung zur Sonne abhängt.